简单实现虚拟DOM与Diff算法

什么是虚拟Dom

虚拟 Dom(virtual Dom)正如其名,它并不是真正的 Dom 对象,但可以根据虚拟 Dom 来转换为真正的 Dom 对象。

虚拟 Dom 其实是一个 JavaScript 对象,对于下面所示的 Dom 结构:

1
2
3
4
5
<ul class="lists">
<li>1</li>
<li class="item">2</li>
<li>3</li>
</ul>

该 Dom 结构所对应的 JavaScript 对象可以是这样的:

1
2
3
4
5
6
7
8
9
10
11
12
13
14
15
16
17
18
19
20
21
22
23
const virtualDom = {
type: 'ul'
props: {
class: 'lists'
},
children: [
{
type: 'li'
props: {},
children: ['1']
},
{
type: 'li'
props: { class: 'item' },
children: ['2']
},
{
type: 'li'
props: {},
children: ['3']
}
]
}

这种能够表示 Dom 的 JavaScript 对象,就是虚拟 Dom。

虚拟 Dom -> 真实 Dom

在创建新元素时,React 会首先创建出虚拟 Dom,然后根据虚拟 Dom 的表示,经过 render 方法转换为真实的 Dom。

而后续有关界面上的交互,也是作用在虚拟 Dom 上,触发虚拟 Dom 的更新,从而引起真实 Dom 的更新。

虚拟Dom和真实Dom的交互

虚拟 Dom 的实现

我们在书写 React 组件时可以使用两种语法:

  • JSX

  • React.createElement

JSX 是 React 提供的一个语法糖,借助 Babel 工具,使开发者可以使用更方便的语法形式来书写,实际上这两种方式是等价的。换句话说,JSX 在经过 Babel 的转换后,会使用 React.createElement() 这一方法。

简单实现 React.createElement 方法

  • createElement(type, config, children): Element;

该方法主要做的就是创建一个对象,来描述 Dom 信息,可以创建一个构造函数来保存,并通过 new 关键字去实例化。

1
2
3
4
5
6
7
8
9
function Element(type, config, children) {
this.type = type;
this.props = config;
this.children = children;
}

function createElement(type, config, children) {
return new Element(type, config, children);
}

使用时需要调用 createElement 方法:

1
2
3
4
5
6
7
let virtualDom1 = createElement("ul", { class: "lists" }, [
createElement("li", {}, ["1"]),
createElement("li", { class: "item" }, ["2"]),
createElement("li", {}, ["3"]),
]);

console.log(virtualDom1);

实现render方法

虚拟 Dom 需要通过一个 render 方法,将虚拟 Dom 对象转换为真实 Dom。

  • render(eleObj);
1
2
3
4
5
6
7
8
9
10
11
12
13
14
15
16
17
18
19
20
21
22
23
24
25
26
27
28
29
30
31
32
33
34
35
36
37
38
function setAttr(node, key, value) {
switch(key) {
case "value":
if (node.tagName.toUpperCase === 'INPUT' || node.tagName.toUpperCase === "TEXTAREA") {
node.value = value;
} else {
node.setAttribute(key, value);
}
break;
case "style":
node.style.cssText = value;
break;
default:
node.setAttribute(key, value);
break;
}
}
function render(eleObj) {
// 创建Element
let el = document.createElement(eleObj.type);

// 遍历属性并设置
for (let key in eleObj.props) {
setAttr(el, key, eleObj.props[key]);
}

// 遍历孩子节点,并创建(如果是Element构造函数,则递归调用render方法,否则创建一个文本节点)
eleObj.children.forEach(child => {
if (child instanceof Element) {
child = render(child);
} else {
child = document.createTextNode(child);
}
el.appendChild(child);
});

return el;
}

调用

1
2
3
4
5
6
7
8
9
let virtualDom1 = createElement("ul", { class: "lists" }, [
createElement("li", {}, ["1"]),
createElement("li", { class: "item" }, ["2"]),
createElement("li", { style: "color: red;" }, ["3"]),
]);

let dom = render(virtualDom1);

console.log(dom);

打印虚拟Dom和真实Dom

要令 dom 显示在页面上,那么还需要最后做一次append操作:

1
2
// 这里只是最简单的插入到了body中,实际上还存在通过id选择root节点,再将dom插入到root节点中
document.body.appendChild(dom);

以上我们就简单的实现了一个虚拟Dom。

简单实现中并没有包括 ref、key 等内容,如果你想了解更多,推荐阅读源码解析相关文章,这边推荐一篇文章:

【React深入】深入分析虚拟DOM的渲染原理和特性

patch 补丁

React 通过 patch 补丁的形式来更新现有的 Dom,所谓的 patch 补丁,其实也是一个对象,这个对象描述了虚拟 Dom 树需要做出怎么样的修改。它的形式类似于:{ type: 'REPLACE', node: newNode }

上面那种形式的补丁,告诉我们此处需要替换内容。那么根据这个补丁,所对应的依旧是Dom操作。

patch 从何而来?

patch 补丁来源于 Dom Diff,Diff 则发生在新旧的虚拟 Dom 树上。

通过对比新旧虚拟 Dom 树,计算出差异,产生 patch 补丁,这些补丁也就是如果将旧的 Dom 树更新为新的 Dom 树的所需要做出的 Dom 操作。

使用虚拟 Dom 会更快吗?

使用虚拟 Dom 不一定会变得更快。虚拟 Dom 是 Dom 的 JavaScript 表示,在事件发生时,通过对比新旧虚拟 Dom 得出更新(通过 Diff 算法获得 patch 补丁),这是一系列转换、分析、计算的过程。

对于一个很简单的场景(点击按钮,页面显示的数字增加),直接操作 dom 将会是更快的,因为在一系列的分析计算后,所产生的 patch 补丁也将是这样的 dom 操作。尽管这个过程可能并不久,但依旧经历了额外的分析计算过程。

对于复杂场景,虚拟 Dom 会是更快的,页面性能所最重要的地方也就是重排、重绘,频繁的 Dom 操作所带来的页面开销将是巨大的。在经过 Diff 的分析计算后,产生 patch 补丁,将会简化 Dom 操作(可能并不是最优的),极大的减少不必要的、重复的 Dom 操作。

Diff

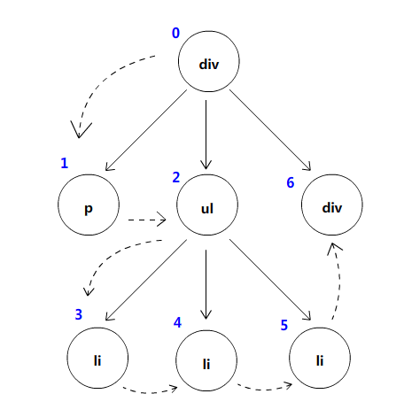
先序深度优先遍历

Diff 采用先序深度优先遍历来观察差异,所谓先序深度优先,也就是先遍历根节点,其次是子节点(对于二叉树是根、左、右)。

先序深度优先遍历示意图;

1
2
3
4
5
6
7
8
9
10
11
12
13
14
15
16
17
18
19
20
const diffHelper = {
Index: 0
}
function dfs(tree) {
console.log(tree.type, diffHelper.Index);
dfsChildren(tree.children);
}
function dfsChildren(nodeArray) {
nodeArray.forEach(node => {
// 每个节点都占用一个编号
++diffHelper.Index;
if (node.type) {
// 是节点,递归调用
dfs(node);
} else {
// 文本节点
console.log(node, diffHelper.Index);
}
})
}

先序深度优先遍历结果

O(n^3) -> O(n)

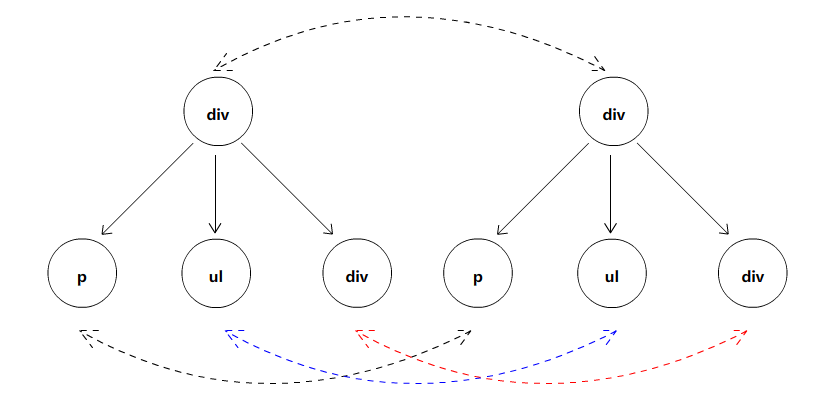
对比两棵树的差异是 Diff 算法最核心的部分。

两棵树完全 Diff(对比父节点、自身、子节点是否完全一致)的时间复杂度是 O(n^3),由于前端中跨层级移动节点的场景较少,因此 React 的 Diff 算法中利用同级比较(只比较同级元素)巧妙的将时间复杂度降低至 O(n)。

Diff 算法使用同级比较来降低时间复杂度

同层级比较规则:

  • 如果新节点不存在,产生一个移除节点的 patch 补丁
  • 如果节点类型相同,比较属性差异,如若属性不同,产生一个关于属性的 patch 补丁
  • 如果节点类型不同,将旧节点替换成新节点,产生一个有关替换的 patch 补丁
  • 如果有新增节点,产生一个有关新增的 patch 补丁
1
2
3
4
5
6
7
8
9
10
11
12
13
14
15
16
17
18
19
20
21
22
23
24
25
26
27
28
29
30
31
32
33
34
35
36
37
38
39
40
41
42
43
44
45
46
47
48
49
50
51
52
53
54
55
56
57
58
59
60
61
62
63
64
65
66
67
68
69
70
71
72
73
74
75
76
77
78
79
80
81
82
83
84
85
86
87
88
89
90
91
92
93
94
95
96
97
98
99
100
101
102
103
104
105
106
107
108
109
110
111
112
113
const diffHelper = {
Index: 0,
isTextNode: (eleObj) => {
return !(eleObj instanceof Element);
},
diffAttr: (oldAttr, newAttr) => {
let patches = {}
for (let key in oldAttr) {
if (oldAttr[key] !== newAttr[key]) {
// 可能产生了更改 或者 新属性为undefined,也就是该属性被删除
patches[key] = newAttr[key];
}
}

for (let key in newAttr) {
// 新增属性
if (!oldAttr.hasOwnProperty(key)) {
patches[key] = newAttr[key];
}
}

return patches;
},
diffChildren: (oldChild, newChild, patches) => {
if (newChild.length > oldChild.length) {
// 有新节点产生
patches[diffHelper.Index] = patches[diffHelper.Index] || [];
patches[diffHelper.Index].push({
type: PATCHES_TYPE.ADD,
nodeList: newChild.slice(oldChild.length)
});
}
oldChild.forEach((children, index) => {
dfsWalk(children, newChild[index], ++diffHelper.Index, patches);
});
},
dfsChildren: (oldChild) => {
if (!diffHelper.isTextNode(oldChild)) {
oldChild.children.forEach(children => {
++diffHelper.Index;
diffHelper.dfsChildren(children);
});
}
}
}

const PATCHES_TYPE = {
ATTRS: 'ATTRS',
REPLACE: 'REPLACE',
TEXT: 'TEXT',
REMOVE: 'REMOVE',
ADD: 'ADD'
}

function diff(oldTree, newTree) {
// 当前节点的标志 每次调用Diff,从0重新计数
diffHelper.Index = 0;
let patches = {};

// 进行深度优先遍历
dfsWalk(oldTree, newTree, diffHelper.Index, patches);

// 返回补丁对象
return patches;
}

function dfsWalk(oldNode, newNode, index, patches) {
let currentPatches = [];
if (!newNode) {
// 如果不存在新节点,发生了移除,产生一个关于 Remove 的 patch 补丁
currentPatches.push({
type: PATCHES_TYPE.REMOVE
});

// 删除了但依旧要遍历旧树的节点确保 Index 正确
diffHelper.dfsChildren(oldNode);
} else if (diffHelper.isTextNode(oldNode) && diffHelper.isTextNode(newNode)) {
// 都是纯文本节点 如果内容不同,产生一个关于 textContent 的 patch
if (oldNode !== newNode) {
currentPatches.push({
type: PATCHES_TYPE.TEXT,
text: newNode
});
}
} else if (oldNode.type === newNode.type) {
// 如果节点类型相同,比较属性差异,如若属性不同,产生一个关于属性的 patch 补丁
let attrs = diffHelper.diffAttr(oldNode.props, newNode.props);

// 有attr差异
if(Object.keys(attrs).length > 0) {
currentPatches.push({
type: PATCHES_TYPE.ATTRS,
attrs: attrs
});
}

// 如果存在孩子节点,处理孩子节点
diffHelper.diffChildren(oldNode.children, newNode.children, patches);
} else {
// 如果节点类型不同,说明发生了替换
currentPatches.push({
type: PATCHES_TYPE.REPLACE,
node: newNode
});
// 替换了但依旧要遍历旧树的节点确保 Index 正确
diffHelper.dfsChildren(oldNode);
}

// 如果当前节点存在补丁,则将该补丁信息填入传入的patches对象中
if(currentPatches.length) {
patches[index] = patches[index] ? patches[index].concat(currentPatches) : currentPatches;
}
}

调用

1
2
3
4
5
6
7
8
9
10
11
12
13
14
15
16
let virtualDom1 = createElement("ul", { class: "lists" }, [
createElement("li", {}, ["1"]),
createElement("li", { class: "item" }, ["2"]),
createElement("li", { style: "color: red;" }, ["3"])
]);

let virtualDom2 = createElement("ul", {}, [
createElement("div", {}, ["1"]),
createElement("li", { class: "item" }, ["这里变了"]),
createElement("li", { style: "color: blue;" }, [
createElement("li", {}, ["3-1"]),
]),
createElement("li", {}, ["1"]),
]);

console.log(diff(virtualDom1, virtualDom2));

执行结果如下图所示:

执行 diff 后的 patch 补丁对象;

同层级比较的缺陷

上面的形式对于列表存在比较大的缺陷:改变顺序的列表,所产生的开销将是巨大的。

举例来说,对于下面的两个 dom,其实发生的是一个顺序的变化,但是在同级比较中,会产生2个替换的 patch 补丁(将3替换为4,将4替换为3),实际上最优的 dom 操作,是进行移动,将3移动到4的位置。

1
2
3
4
5
6
7
8
9
10
11
12
<ul>
<li>1</li>
<li>2</li>
<li>3</li>
<li>4</li>
</ul>
<ul>
<li>1</li>
<li>2</li>
<li>4</li>
<li>3</li>
</ul>

列表Diff

React 引入 key 属性来进行列表层面的 diff 判断。

如果在书写 React 列表时,你没有给列表的每一项设置一个 key 值,那么在控制台上将会打印出一则警告,这是 React 在告诉你它无法高效的进行列表层面的 Diff 判断。

未引入 key 时,React 将采用我们刚才介绍的方式进行 Diff。

未使用 Key 属性时列表的 Diff

如上图所示,C 将会被替换成 F,D 将会被替换成 C,E 将会别替换成 D,同时新增了一个 E。

使用 key 属性后,React Diff 算法将可以复用元素(key 一致时且标签类型一致时,认为是同一元素)

使用 Key 属性后列表的 Diff

通过算法分析将可以知道 A、B、C、D、E 均未发生改变,因此会获得一个有关插入的 patch 补丁。它的形式可能类似于:

1
2
3
4
{
type: 'REORDER',
moves: [{remove or insert}, {remove or insert}, ...]
}

这个 patch 补丁所对应的 dom 操作可以是:

  • 删除元素 element.removeChild()

  • 在某一元素前面增加元素 element.insertBefore()

这一部分的代码将不会在本篇进行讲述。

修补补丁

通过 diff 算法可以得到 patch 补丁对象,现在我们就可以根据 patch 补丁对象进行修补补丁。

1
2
3
let patches = diff(virtualDom1, virtualDom2);

patch(dom, patches);

补丁对象的形式如下,我们可以从中得知第 n 个节点需要打的补丁。

1
2
3
4
5
6
7
8
9
10
11
12
patches = {
0: [{
type: 'ATTR',
attrs: {
class: undefined
}
}],
3: [{
type: 'TEXT',
text: "这里变了"
}]
}

我们要执行更新,也要做一遍先序深度优先遍历,并执行相关的补丁操作。

1
2
3
4
5
6
7
8
9
10
11
12
13
14
15
16
17
18
19
20
21
22
23
24
25
26
27
28
29
30
31
32
33
34
35
36
37
38
39
40
41
42
43
44
45
46
47
48
49
50
51
const patchHelper = {
Index: 0
}

function patch(node, patches) {
dfsPatch(node, patches);
}

function dfsPatch(node, patches) {
let currentPatch = patches[patchHelper.Index++];
node.childNodes.forEach(child => {
dfsPatch(child, patches);
});
if (currentPatch) {
doPatch(node, currentPatch);
}
}

function doPatch(node, patches) {
patches.forEach(patch => {
switch (patch.type) {
case PATCHES_TYPE.ATTRS:
for (let key in patch.attrs) {
if (patch.attrs[key] !== undefined) {
setAttr(node, key, patch.attrs[key]);
} else {
node.removeAttribute(key);
}
}
break;
case PATCHES_TYPE.TEXT:
node.textContent = patch.text;
break;
case PATCHES_TYPE.REPLACE:
let newNode = patch.node instanceof Element ? render(patch.node) : document.createTextNode(patch.node);
node.parentNode.replaceChild(newNode, node);
break;
case PATCHES_TYPE.REMOVE:
node.parentNode.removeChild(node);
break;
case PATCHES_TYPE.ADD:
patch.nodeList.forEach(newNode => {
let n = newNode instanceof Element ? render(newNode) : document.createTextNode(newNode);
node.appendChild(n);
});
break;
default:
break;
}
})
}

React Fiber

这一部分大量引用了 Deep In React 之浅谈 React Fiber 架构(一) 的文章内容,您也可以直接阅读这一篇内容来了解 Fiber 的相关内容。

React 主要有两个阶段:

  • 调和阶段(Reconciler):React 通过先序深度优先遍历生成 Virtual DOM,然后通过 Diff 算法,获得变更补丁(Patch),放到更新队列里面去。

  • 渲染阶段(Renderer):遍历更新队列,通过调用宿主环境的API,实际更新渲染对应元素。宿主环境,比如 DOM、Native、WebGL 等。

更多关于调和阶段的解释可以点击 这里

从刚才我们的实现来看,代表了调和阶段一旦开始,就无法 中断。该功能将一直占用主线程, 一直要等到整棵 Virtual DOM 树计算完成之后,才能把执行权交给渲染引擎。

这样的情况导致一些用户交互、动画等任务无法立即得到处理,容易造成卡顿、失帧等现象,影响用户体验。

Fiber 的诞生正是为了解决这个问题。

什么是Fiber

为了解决这个问题,有以下几个可供改进的地方:

  • 暂停工作,稍后再回来。
  • 为不同类型的工作分配优先权。
  • 重用以前完成的工作。
  • 如果不再需要,则中止工作。

为了做到这些,我们首先需要一种方法将任务分解为单元。从某种意义上说,这就是 Fiber,Fiber 代表一种工作单元。

Fiber 就是重新实现的堆栈帧,本质上 Fiber 也可以理解为是一个 虚拟的堆栈帧,将可中断的任务拆分成多个子任务,通过按照优先级来自由调度子任务,分段更新,从而将之前的同步渲染改为异步渲染。

所以我们可以说 Fiber 是一种数据结构(堆栈帧),也可以说是一种解决可中断的调用任务的一种解决方案,它的特性就是 时间分片(time slicing)和暂停(supense)

关于 Fiber,本篇不再展开讲述,这里提及只是为了说明在 Fiber 架构引入后,React的 diff 将会在浏览器有“空闲”的时候进行可中断的执行。

代码

本文代码你可以在 我的Github仓库 中找到。

参考资料